
From “Governing a Liquid Society”, by J. Marczyk, 2019.
Complexity, apart from being a characteristic of all systems – it is as important as energy – is what most of us think it to be: a measure of how something is intricate, involved, difficult. More intricate systems require more information to describe the way they function, as well as more effort in order to understand and to operate them. This is intuitive. So, what is it that makes a system complex? Essentially these three things:
- Many parts or components (agents)
- Many interactions (interconnections) between these parts
- The nature of these interactions, i.e. crisp or fuzzy
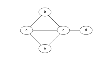
Interactions between components may be illustrated my means of graphs, or maps. Examples of a simple and complex system are illustrated, respectively, in Figures 6 and 7.
Figure 6. Example of simple 5-element system.
It is clear that even in the case of a system with as few as 25 components, things can quickly become involved. Imagine a system with 250000 components, such as the one we have analysed to represent the World using data from the World Bank. In any event, the structure of these graphs is precisely the structure we have been speaking of. To understand a system is to understand its structure.
Let us now turn our attention to the links joining two components in a graph. A component in a graph can be described by its current value. Let’s take two components, X and Y, and let’s suppose that the last twenty values of each are those in Figure 8. The chart in Figure 8 is simply a scatter plot representing the said values.
Figure 7. Example of complex 25-element system.
Figure 8. Example of a crisp relationship between two variables (components).
In such a case, the data suggests an almost linear relationship between component X and Y. In other words, what Y does in response to X can be described or approximated by a simple linear equation. This can be very useful because having such an equation allows one to make forecasts and to answer all sorts of questions about the system. A set of such equations constitutes a model of the system in question. If all the links in a system can be described by linear equations then the situation is well under control. There can be no surprises. The system is easy to describe, to understand and, ultimately, to govern. The situation changes considerably if the relationship between X and Y is no longer crisp (and linear) but becomes fuzzy, such as the one shown in Figure 9.
Figure 9. Example of a fuzzy relationship between two variables (components).
Here a linear equation makes no longer sense. In actual fact, data such as this is not easy to describe by any kind of equation. In cases such as this it is not possible to say what Y will do in response to X, or vice versa. In the previous case data is more ordered, in this case it is chaotic (entropy – the measure of disorder – is evidently higher). System with many fuzzy relationships between components are, clearly, more complex. But why is this so? Here are a few reasons:
- They cannot be modelled.
- They cannot be described with precision, only vague statements can be made
- They can function in many different states, known as modes
- They can suddenly behave in non-intuitive ways
- They can suddenly jump from one mode of functioning to another without any early warning
- Their structure is often weak and can change suddenly
This last point is particularly important. If the links between a few components become weak enough, they will ultimately disappear, and the underlying system will lose a part of its structure. Imagine a steel structure, subjected to corrosion, in which a rusty truss suddenly stops carrying its load, transferring the burden to its neighbours. In highly complex systems, such as the economy, the society, the climate or in biological systems, situations are in general more like what we observe in Figure 9 – the relationships between components tend to be fuzzy. Because of this, it is impossible to issue precise statements about such systems. This fact is captured eloquently in the Principle of Incompatibility, coined by L. Zadeh:
High precision is incompatible with high complexity.
A different way to express this principle is:
In highly complex situations, precise statements are irrelevant and relevant statements are imprecise.
This principle stems from the laws of physics even though the language may seem imprecise! The bottom line is that if someone speaks of the economy, finance, politics, society, medicine, human nature, or climate in precise terms, using six decimals, either they are pulling your leg or they don’t know what they are talking about. Even Aristotle knew this, when he wrote in the Nicomachean Ethics: “It is the mark of an educated man to look for precision in each class of things just so far as the nature of the subject admits”. In simpler words, beware of digital hair-splitting which is often a sign of acute ignorance.
You only understand how things are vague when you try to make them precise
Bertrand Russell





Great pleasure reading it!
Sent from my iPhone
LikeLiked by 1 person
Thanks much Mike!
LikeLike